Dw733 Parts Diagram

Buy Dewalt Dw733 Type 2 Replacement Tool Parts Dewalt Dw733 Type

Buy Dewalt Dw733 Type 2 Replacement Tool Parts Dewalt Dw733 Type

Jonaka Try Dewalt Planer Dw733

Jonaka Try Dewalt Planer Dw733

Dewalt Planer Thicknesser Spare Parts Spares Tools And Parts

Dewalt Planer Thicknesser Spare Parts Spares Tools And Parts


Handleiding Dewalt Dw733 T 2 Pagina 22 Van 88 Dansk Deutsch

Handleiding Dewalt Dw733 T 2 Pagina 22 Van 88 Dansk Deutsch

Planer Acting Funny Canadian Woodworking And Home Improvement Forum

Planer Acting Funny Canadian Woodworking And Home Improvement Forum

Dewalt Dw734 Manual

Dewalt Dw734 Manual

De Walt Planer Dw733 Parts Diagram Samyysandra Com

De Walt Planer Dw733 Parts Diagram Samyysandra Com

Dewalt Dw733ty1 Planer Parts Sears Parts Direct

Dewalt Dw733ty1 Planer Parts Sears Parts Direct

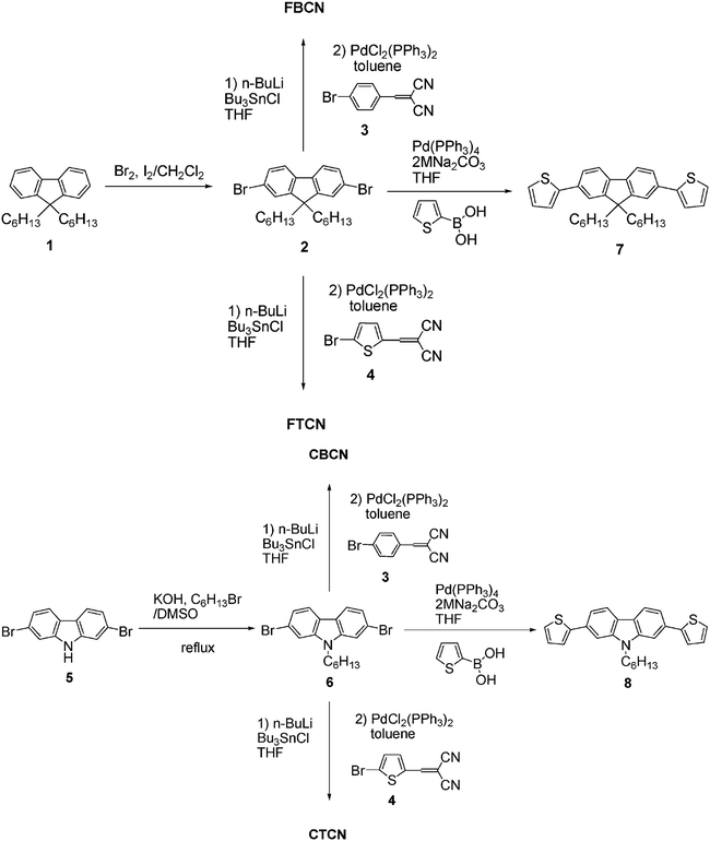
Synthesis And Properties Of Fluorene Or Carbazole Based And

Synthesis And Properties Of Fluorene Or Carbazole Based And

Makita Or Dewalt Which Thicknesser

Makita Or Dewalt Which Thicknesser

Genuine Spare Parts For All The Biggest Brands From Makita Ryobi

Genuine Spare Parts For All The Biggest Brands From Makita Ryobi

Dewalt Part N5140005 02 Planer Thicknesser 110v Switch Fits

Dewalt Part N5140005 02 Planer Thicknesser 110v Switch Fits