225 Degree Angle Cut

22 5 Degree Per Side 45 Degree Included 67 5 Degree From End

22 5 Degree Per Side 45 Degree Included 67 5 Degree From End

16 Digital Protractor Angle Finder Level 0 225 677

16 Digital Protractor Angle Finder Level 0 225 677

How To Cut Quarter Rounds For A 45 Degree Angle Youtube

How To Cut Quarter Rounds For A 45 Degree Angle Youtube


How Do You Cut Baseboard Around Bullnose Corners

How Do You Cut Baseboard Around Bullnose Corners

Cutting Fabric Strips At An Angle Patchwork Posse

Cutting Fabric Strips At An Angle Patchwork Posse

Amplitude Ratio Concept Ttradio

Amplitude Ratio Concept Ttradio

9 Drawing Reflex Angles Youtube

9 Drawing Reflex Angles Youtube

Construction Of Angle Of 15 30 45 60 75 90 105 120 135

Construction Of Angle Of 15 30 45 60 75 90 105 120 135

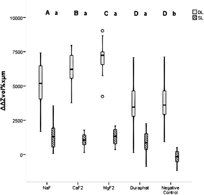
Evaluation Of Novel Nanoscaled Metal Fluorides On Their Ability To

Evaluation Of Novel Nanoscaled Metal Fluorides On Their Ability To

Https Www Mdpi Com 1660 4601 17 4 1422 Pdf

Https Www Mdpi Com 1660 4601 17 4 1422 Pdf

Amplitude Ratio Concept Ttradio

Amplitude Ratio Concept Ttradio

Measuring And Making Angles Dummies

Measuring And Making Angles Dummies